東方Project人気投票の解析 〜可視化& ベイズ統計モデリング〜
- Digital600 JPY




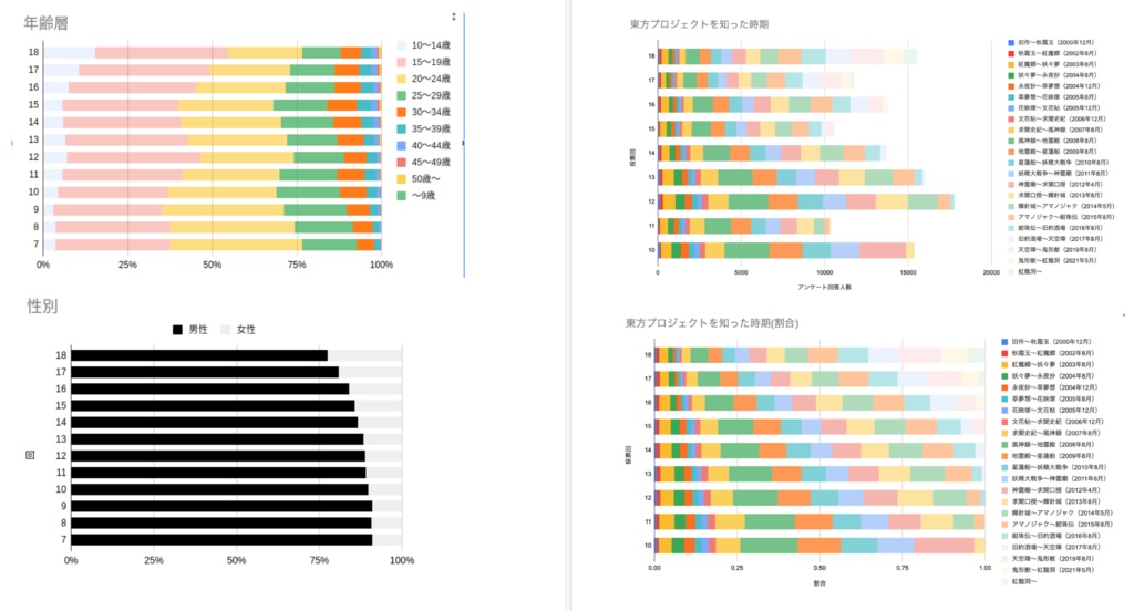
過去20年に渡る東方Projectの楽曲、キャラ人気投票データの解析、可視化です。 人気投票サイト https://toho-vote.info/result のデータを使わせていただきました。 ベイズ統計モデリングという手法を使いました。 内容は https://xiangze.hatenablog.com/entry/2022/12/21/210352 https://xiangze.hatenablog.com/entry/2023/01/01/232744 https://xiangze.hatenablog.com/entry/2023/04/29/111256 に加筆したものです。 解析データは https://github.com/xiangze/toubou_vote_analysis/data にあります。
See More



