公共データを用いたRNA-seq解析【Rデータ解析編】 ~Rで始めるドライ研究~
- Digital1,500 JPY





















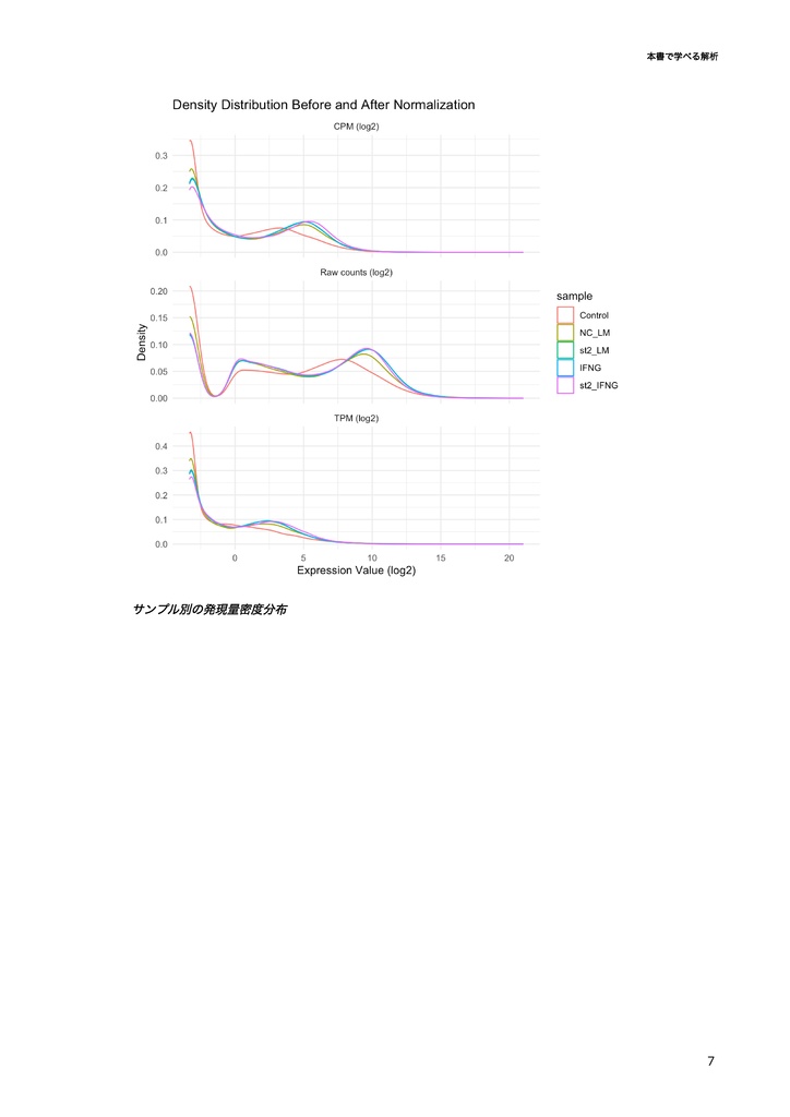
📰 概要 シリーズ累計1700冊を突破した大人気シリーズ「公共データを用いた〇〇」の第4弾! Rを使ってRNA-seq解析に挑戦しませんか? 本書は、R言語を使った実践的なRNA-seq解析の技術書です。プログラミング初心者でも公共データを用いてRNA-seq解析を行い、論文図表作成まで行える内容を提供します! RNA-seq(RNA-シーケンシング)は、遺伝子発現を網羅的に解析する強力な手法ですが、データ解析にはプログラミングスキルと専門知識が必要とされ、初心者にとって大きな壁となっています。 本書では、公共データベースに登録されたRNA-seqデータを用いて、R言語によるRNA-seq解析の全工程を解説します。環境構築から始まり、データ取得、前処理、品質管理、発現解析、発現変動遺伝子(DEG)の検出、可視化、機能解析まで、実践的な解析フローを一通り学ぶことができます! DESeq2やedgeRといった主要なRNA-seq解析パッケージの使い方、ggplot2による効果的な可視化、Gene Ontology解析など、論文作成に必要な技術を網羅。プログラミング経験がなくても理解できるよう、コードの意味や各ステップの解説を丁寧に行っています! 実験で忙しいウェット系研究者が短時間で効率的にRNA-seq解析を学び、自身の研究に役立てられるよう構成しています。公共データを活用することで、自前のデータがなくても、あるいは本実験の前に解析フローを確立するための練習として最適です! 👫 対象とする読者 ・RNA-seq解析に興味があるが、何から始めれば良いかわからない人 ・R言語でのプログラミングが初めての生物学研究者 ・RNA-seqデータ解析を外部の専門家に依頼しているが、自分でも理解・実行したい人 ・一般的なウェット実験に忙しく、プログラミングや統計を系統的に学ぶ時間がない人 ・自身の研究に公共データを用いたRNA-seq解析を取り入れたい研究者 ・在野研究で論文を執筆したい社会人、または大学院での業績を増やしたい学生 💰 販売価格 期間限定で ¥4500→¥1500 (約67% OFF!!)で販売しております! 本技術書は随時アップデートされていきます。 一度購入された方はアップデートされたとしても追加料金は発生しませんのでご安心ください。 📰 アップデート情報 2025/03/29: 技術書をリリースしました!




















